Skip to content
    • info@phantran.net
  • Connecting and sharing with us
  • -
  • About us
    • info@phantran.net
HKT ConsultantHKT Consultant
  • Home
  • Corporate Management
    • Entrepreneurship
      • Startup
      • Entrepreneurship
      • Growth of firm
    • Managing primary activities
      • Marketing
      • Sales Management
      • Retail Management
      • Import – Export
      • International Business
      • E-commerce
      • Project Management
      • Production Management
      • Quality Management
      • Logistics Management
      • Supply Chain Management
    • Managing support activities
      • Strategy
      • Human Resource Management
      • Organizational Culture
      • Information System Management
      • Corporate Finance
      • Stock Market
      • Accounting
      • Office Management
  • Economics of Firm
    • Theory of the Firm
    • Management Science
    • Microeconomics
  • Research Methodology
    • Methodology
      • Research Process
      • Experimental Research
      • Research Philosophy
      • Management Research
      • Writing a thesis
      • Writing a paper
    • Qualitative Research
      • Literature Review
      • Interview
      • Case Study
      • Action Research
      • Qualitative Content Analysis
      • Observation
      • Phenomenology
    • Quantitative Research
      • Statistics and Econometrics
      • Questionnaire Survey
      • Quantitative Content Analysis
      • Meta Analysis
      • Statistical Software
        • STATA
        • SPSS
        • SEM-AMOS
        • SmartPLS
        • Eviews
Introduction to IBM AMOS SPSS

AMOS is statistical software and it stands for analysis of a moment structures. AMOS is an added SPSS module, and is specially used for Structural Equation Modeling, path analysis, and confirmatory factor analysis.  It is also known as analysis of covariance or causal modeling software. AMOS is a visual program for structural equation modeling (SEM). In AMOS, we can draw models graphically

1 Comments

14
Sep
What Is Structural Equation Modeling?

Structural equation modeling (SEM) is a statistical methodology that takes a confirmatory (i.e., hypothesis-testing) approach to the analysis of a structural theory bearing on some phenomenon. Typically, this theory rep­resents “causal” processes that generate observations on multiple varia­bles (Bentler, 1988). The term “structural equation modeling” conveys two important aspects of the procedure: (a) that

2 Comments

20
Sep
Basic Concepts of Structural Equation Modeling

1. Latent versus Observed Variables In the behavioral sciences, researchers are often interested in studying theoretical constructs that cannot be observed directly. These abstract phe­nomena are termed latent variables, or factors. Examples of latent variables in psychology are self-concept and motivation; in sociology, powerless­ness and anomie; in education, verbal ability and teacher expectancy; in

20
Sep
The General Structural Equation Model

1. Symbol Notation Structural equation models are schematically portrayed using particular configurations of four geometric symbols—a circle (or ellipse), a square (or rectangle), a single-headed arrow, and a double-headed arrow. By conven­tion, circles (or ellipses; CD) represent unobserved latent factors, squares (or rectangles; ) represent observed variables, single-headed arrows (→) represent the impact of

1 Comments

20
Sep
Using the Amos Program

1. Key Concepts Building SEM models using Amos Graphics Building SEM models using Amos Tables View Corollary associated with single variable estimation Concept of model (or statistical) identification Computing the number of degrees of freedom Distinctions between first- and second-order CFA models Changing Amos default color for constructed models The program name, Amos, is

1 Comments

20
Sep
Application 1: Testing the Factorial Validity of a Theoretical Construct (First-Order CFA Model) with AMO

1. Key Concepts Hypothesized models conceptualized within a matrix format Error/uniqueness parameters Congeneric measures Working with model-refining tools in Amos Graphics Specification of data in Amos Graphics Calculation of estimates in Amos Graphics Selection of textual versus graphical output in Amos Graphics Evaluation of parameter estimates Evaluation of model as a whole model-fitting process

2 Comments

20
Sep
Application 2: Testing the Factorial Validity of Scores from a Measurement Scale (First-Order CFA Model) with AMOS

1. Key Concepts Assumption of multivariate normality The issue of multivariate outliers The issue of multivariate kurtosis Statistical strategies in addressing nonnormality SEM robust statistics Post hoc model testing and related issues Nested models and the chi-square difference test Error covariances and related issues 2. Modeling with Amos Graphics For our second application, we

1 Comments

20
Sep
Application 3: Testing the Factorial Validity of Scores from a Measurement Scale (Second-Order CFA Model) with AMOS

1. Key Concepts Model identification issue in higher-order models Determination of critical ratio differences Specification of equality constraints Likert scale scores analyzed as continuous versus categorical data Bayesian approach to analyses of categorical data Specification and interpretation of diagnostic plots In contrast to the two previous applications that focused on CFA first-order models, the

1 Comments

21
Sep
Application 4: Testing the Validity of a Causal Structure with AMOS

1. Key Concepts The full structural equation model Issue of item parceling Addressing evidence of multicollinearity Parameter change statistic Issue of model parsimony and nonsignificant parameter estimates Calculation and usefulness of the squared multiple correlation In this chapter, we take our first look at a full structural equation model (SEM). The hypothesis to be

1 Comments

21
Sep
Application 5: Testing Factorial Invariance of Scales from a Measurement Scale (First-Order CFA Model) with AMOS

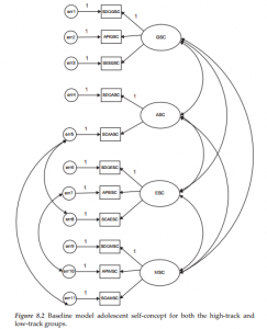
1. Key Concepts Conceptual notion of factorial invariance (i.e., equivalence) Analysis of covariance (COVS) versus means and covariance (MaCs) structures Evidence of partial measurement invariance Hierarchical set of steps involved in testing factorial invariance Chi-square-difference versus CFI-difference tests Working with multiple groups in Amos Manual versus Amos-automated approach to invariance testing Up to this

2 Comments

21
Sep
Application 6: Testing Invariance of Latent Mean Structures (First-Order CFA Model) with AMOS

1. Key Concepts Distinguishing between observed and latent means Distinguishing between covariance and mean structures The moment matrix Critically important constraints regarding model identification and factor identification Illustrated use of the automated multigroup procedure in testing invariance Link between multigroup dialog box and automated labeling of Amos graphical models In the years since the

22
Sep
Application 7: Testing Invariance of a Causal Structure (Full Structural Equation Model) with AMOS

1. Key Concepts Importance of cross-validation in SEM Approaches to cross-validation in SEM Testing invariance for a programmed set of measurement and struc­tural parameters based on the Amos multiple-group automated approach Interpreting statistical versus practical evidence of tests for invari­ance based on the Amos multiple-group automated approach In Chapter 4, I highlighted several problematic

2 Comments

22
Sep
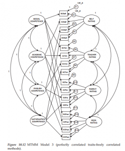
Application 8: Testing Evidence of Construct Validity with AMOS: The Multitrait-Multimethod Model

1. Key Concepts The dual focus of construct validation procedures Convergent validity, discriminant validity, and method effects Reorientation of Amos Graphics models to fit page size Comparison of the correlated traits-correlated methods (CT-CM) and correlated traits-correlated uniquenesses (CT-CU) multitrait- multimethod models Warning messages regarding inadmissible solutions and negative variances Construct validity embraces two modes

2 Comments

22
Sep
Application 9: Testing Change Over Time with AMOS: The Latent Growth Curve Model

1. Key Concepts Measuring change over three or more time points Intraindividual versus interindividual differences in change Factor intercept and slope as growth parameters Importance of the Amos plug-in menu Incorporating a time-invariant predictor of change Use of Amos Graphics interface properties option Behavioral scientists have long been intrigued with the investigation of change.

1 Comments

22
Sep
Application 10: Use of Bootstrapping in Addressing Nonnormal Data with AMOS

1. Key Concepts SEM assumption of multivariate normality Concept of bootstrapping Benefits, limitations, and caveats related to bootstrapping Nonparametric (simple, naive) bootstrap Sample ML estimates versus bootstrap Ml estimates Bollen-Stine bootstrap option Two critically important assumptions associated with structural equation modeling (SEM) in the analysis of covariance and mean structures are that the data

22
Sep
Application 11: Addressing the Issues of Missing Data with AMOS

1. Key Concepts Unstructured versus structured missing data Basic patterns of missing data Ad hoc versus theory-based strategies for dealing with missing data Amos approach to dealing with missing data Missing (i.e., incomplete) data, an almost inevitable occurrence in social science research, may be viewed either as a curse or as a gold mine

1 Comments

22
Sep
Procedural Steps in Structural Equation Modelling

Structural equation modelling includes six key steps. In addition to data collection, the steps are model specification, identification, estimation, evaluation and modification (Fig. 3.1). Model Specification: The first step in SEM analysis is the model specification. It is performed prior to data collection and data modelling. This involves the devel- opment of a theoretical

27
Mar
What Is Structural Equation Modeling?

Structural equation modeling, or SEM, is a statistical method that examines the relation- ships among numerous variables in a simultaneous way. SEM is not considered a single procedure but rather a family of related statistical techniques. This family of analysis tech- niques examines the measurement properties of a variable along with the interrelationships between

27
Mar
Basics of SEM Input: The Covariance Matrix

For the purposes of this book, I will strictly use a covariance-based approach to structural equation modeling.This method is the most robust for theory testing and assessing the “struc- ture” of a specified model along with its relationships. Before we move forward, a discussion is warranted on concepts such as variance, covariance, and correlation

27
Mar
Correlations Between Constructs in SEM Model

While directionality is calculated with a covariance analysis, the strength of the relationships is determined through a correlation analysis. A correlation between two concepts is essentially derived from the covariance. With a covariance analysis, the calculated values do not have a definable range or limit. If you have two variables that are measured on

27
Mar
  • 1
  • 2
  • 3
  • 4
  • …
  • 6
Theories of the firm
  • Philosophical Theories and ConceptPhilosophical Theories and Concept
  • Contingency TheoryContingency Theory
  • Organizational learning theoryOrganizational learning theory
  • Nature and scope of scienceNature and scope of science
  • What is a Scientific Theory?What is a Scientific Theory?
  • List of Art movementsList of Art movements
  • Institutional TheoryInstitutional Theory
  • Hyper-competition theoryHyper-competition theory

Most Read in 30 days

Methodology & Skills
  • Learn Programming Languages (JavaScript, Python, Java, PHP, C, C#, C++, HTML, CSS)Learn Programming Languages (JavaScript, Python, Java, PHP, C, C#, C++, HTML, CSS)
  • Research methodology: a step-by-step guide for beginnersResearch methodology: a step-by-step guide for beginners
  • Create your professional WordPress website without codeCreate your professional WordPress website without code
  • Quantitative Research: Definition, Methods, Types and ExamplesQuantitative Research: Definition, Methods, Types and Examples
  • Doing Management Research: A Comprehensive GuideDoing Management Research: A Comprehensive Guide
  • A Comparison of R, Python, SAS, SPSS and STATA for a Best Statistical SoftwareA Comparison of R, Python, SAS, SPSS and STATA for a Best Statistical Software
  • Qualitative methods: what and why use them?Qualitative methods: what and why use them?

Connecting and sharing with us

... by your free and real actions.

hotlineTComment and discuss your ideas

Enthusiastic to comment and discuss the articles, videos on our website by sharing your knowledge and experiences.

hỗ trợ hkt Respect the copyright

Updating and sharing our articles and videos with sources from our channel.

hỗ trợ hkt Subscribe and like our articles and videos

Supporting us mentally and with your free and real actions on our channel.

HKT Channel - Science Theories

About HKT CHANNEL
About HKT CONSULTANT

Website Structure

Corporate Management
Startup & Entrepreneurship
Management Science
Theories of the firm

HKT Consultant JSC.

      "Knowledge - Experience - Success"
- Email: Info@phantran.net
- Website:
phantran.net

  • Home
  • Corporate Management
    • Entrepreneurship
      • Startup
      • Entrepreneurship
      • Growth of firm
    • Managing primary activities
      • Marketing
      • Sales Management
      • Retail Management
      • Import – Export
      • International Business
      • E-commerce
      • Project Management
      • Production Management
      • Quality Management
      • Logistics Management
      • Supply Chain Management
    • Managing support activities
      • Strategy
      • Human Resource Management
      • Organizational Culture
      • Information System Management
      • Corporate Finance
      • Stock Market
      • Accounting
      • Office Management
  • Economics of Firm
    • Theory of the Firm
    • Management Science
    • Microeconomics
  • Research Methodology
    • Methodology
      • Research Process
      • Experimental Research
      • Research Philosophy
      • Management Research
      • Writing a thesis
      • Writing a paper
    • Qualitative Research
      • Literature Review
      • Interview
      • Case Study
      • Action Research
      • Qualitative Content Analysis
      • Observation
      • Phenomenology
    • Quantitative Research
      • Statistics and Econometrics
      • Questionnaire Survey
      • Quantitative Content Analysis
      • Meta Analysis
      • Statistical Software
        • STATA
        • SPSS
        • SEM-AMOS
        • SmartPLS
        • Eviews
  • About us